MOS驱动电路的自举电路设计

    自举电路优点简单、便宜,但占空比和开通时间受限于自举电容充电时间,自举电路如下图所示,电路的工作原理是,当Vs被拉到地时,VCC通过自举二极管给Cbs充电,形成自举电源Vbs

    影响Vbs的因素有:1MOS栅极电荷要求,2、高边驱动电路静态电流,3、驱动IC中电平转换电路电流,4、自举电容漏电流(当自举电容为电解电容时才有,因此建议尽量使用非电解类电容)。

自举电容的选择

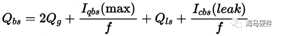
    自举电容电荷计算公式如下:

    其中Qg为高边MOS栅极电荷,f为开关频率,Icbs(leak)为自举电容漏电流,Qls为每个周期内,电平转换电路的电荷要求(一般小于5nC),Iqbs为上桥驱动电路的静态电流。
      自举电容过小时,Vbs将会有很大的纹波,并且可能会低于欠压值Vbsv,使高端器件无法工作,Cbs电容的电荷是最小值的2倍,则有

   其中Vf为自举二极管的正向压降,VLS为低端器件压降。假定Qg=560nC,Qgs=CU=910nC,Iqbs=120uA,f=16kHz,Qls=5nC,Icbs=50uA,代入计算得Qbs=2956nC,C≥1478nF。上述容值为自举电容最小的要求,过小的自举电容可能会引起过充电导致IC损坏,因此电容应乘上一个系数C≥328nF*15=22.2uF。

      自举电容只有在高边MOS关断,PHASE点被拉到地时才被充电,因此低边MOS开通时间应足够长,以保证高边自举电容电荷被完全充电(自举电容也不宜过大)。

      此外,高边MOS的充电回路包含负载,负载阻抗将影响自举电容的充电,如果阻抗太高时,电容将不能充分充电,这时就需要电荷泵电路(自举电路的风险点)。

 

自举二极管的选择

 

在高端器件开通时,自举二极管作用是能够阻止高压,并且是快恢复二极管,从而减小从自举电容向电源VCC的回馈电荷。如果自举电容需要长期存储电荷时,二极管高温反向漏电流也需要关注,二极管的额定电流由下式决定:

假定Qbs=2956nCf=16KHz,则IF=47mA,留15倍余量,则有IF*15=709mA

布局方式

    自举电容要尽可能靠近驱动IC管脚,至少有一个低ESR电容提供去耦,如果使用铝电解电容,则需要增加瓷片电容,如果自举电容本身是瓷片电容或钽电容,则不需要增加

 
限流电阻的选择
    限流电阻的作用为:降低尖峰电压,一般为10R以内占空比受限于自举电容CBOOT刷新电荷所需要的时间,最低导通时间,即给自举电容充电或刷新电荷的时间,在设计时必须匹配这个时间常数。该时间常数取决于自举电阻,自举电容和开关器件的占空比,用下面的等式计算:

RBOOT=3.3OhmCBOOT=100uFD=0.1,则时间常数=3.3us
 
驱动IC的电流与功耗
 
    驱动IC的驱动电流取决于在开关时间tSW_ON/OFF内,需要移动的栅极电荷数QG:

其中tSWON/OFF表示MOS开关速度,如果没有确定下来,则可以用开关周期的2%进行估算,当fsw=16kHzQg=1470nC,驱动峰值电流计算I=1.176A,一般留1.5倍余量,1.176*1.5=1.764A。
    驱动电路的总功耗包括驱动器功耗和自举二极管功耗,驱动器功耗则由静态功耗和动态功耗组成。它与开关频率,输出负载电容,以及电源有关。
    静态功耗是低端驱动器VDD到地的静态电流,以及高端驱动器电平转换阶段的漏电流造成。前者取决于VS端的电压,后者与高端器件占空比有关。
    动态功耗:

    其中Qg为栅极充电电荷,可以在datasheet中查到,ΔVgs为驱动电压的摆幅,fsmos的开关频率,实际情况下驱动器功耗随着环温的升高而降低降额。

总结
    
    自举电路对于高电压栅极驱动器是很有用,但是,当电路启动时,需要注意对自举电容进行初始化启动和充电受限的问题。启动时,自举二极管可能处于反偏,主要是低边MOS导通时间不足,自举电容不能保持所需要的电荷导致。
 
参考文献
[1].MOSFET-Application-Handbook – NXP
注:部分资料来源于网络,如有侵权,请联系删除。

作者:极客石头

在搞事情的路上越走越远。

发表评论

您的邮箱地址不会被公开。 必填项已用 * 标注