高速信号添加回流地过孔,有什么用?

通常PCB上的打过孔换层会引起镜像平面的非连续性,这就会导致信号的最佳回流途径被破坏。

我们都知道,信号打孔换层会改变信号的回流路径,如果信号换层,回流路径也跟着换层,但是在信号换层处过孔不能将信号回路连通起来,将引起信号回路面积增大,从而导致EMC问题。

下图描述了信号打孔换层的几种情况:

a、信号线换层,回流路径也从GND换到VCC上去了;

b、信号线换层,但参考面没改变,回流路径没有换层;

c、信号线换层,回流路径也换层,但只是从一个GND平面换到另一个平面;

a、c两种情况如果不能在信号换层过孔处将信号回路连通起来,将引起信号回路面积增大,从而导致EMC问题

针对以上换层引起的回路问题其解决方法如下:

a、需要在过孔附近放置旁路电容将VCC与GND连接起来,以给回路提供一个低阻抗通路;

b、建议高速信号线及时钟线采用此种换层方式;

c、需在换层过孔附近放置地过孔将GND与GND连接起来,以给回路就近提供一个通道。

所以,我们经常可以看到一些经验丰富的PCB设计师在处理高速信号打孔换层的时候,在信号孔附近添加回流地孔,如下图所示。

包括一些高速连接器在设计的时候其高速信号管脚两边也是地管脚如下图所示。

给传输线上的信号过孔配置相邻的接地过孔,主要有两个好处:一是给信号过孔承载的信号提供良好的信号回流通路;二是通过接地过孔消除信号之间的电磁场辐射。

实验证明:信号回流通路对于信号的阻抗影响比较大。通过在传输线及其过孔附近添加接地过孔的方式,可以有效地降低了阻抗的不连续性,从而改善因阻抗不连续导致的反射现象,进而引发EMC问题。在传输线信号的过孔周围加载接地过孔,原则上是数量越多越好、距离信号过孔越近越好。

回流地孔不仅能改善信号的EMC和回流通道,还能改善过孔的阻抗,降低链路阻抗的不连续性。高速差分过孔三维电磁仿真的过孔模型,其中就包含了回流地孔,如下图所示。

对单端过孔过孔的其他参数及仿真参数设置如下表所示。

单端过孔仿真的三维结构图如下图所示:

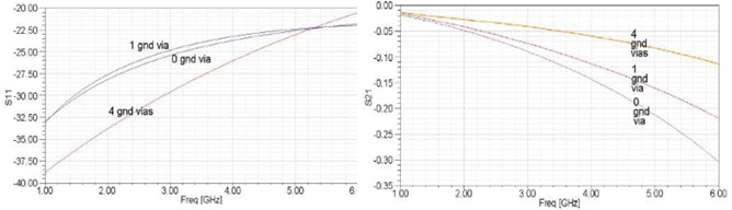
(1)接地过孔数量的多少对信号传输质量影响

接地过孔的数量是不是越多越好呢?在一定频率的信号传输通路,几个接地过孔就足够了呢?为了弄清楚这些问题,需要对接地过孔的数量进行仿真,仿真结果如下图所示。

从上图中S11曲线可以看出:5.2GHz是一个分界点,对于5.2GHz以上的信号过孔附近加载4个接地过孔,过孔的反射损耗会明显降低。可见,加载接地过孔的方式能够有效地降低高频信号的阻抗不连续性。

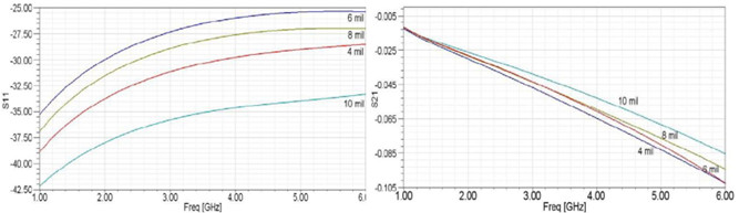
(2)接地过孔孔径大小对信号传输质量影响

为了明确接地过孔孔径大小对信号传输质量的影响,进行的仿真结果如下图所示。

仿真接地过孔孔径对信号的影响,可以发现:当接地过孔孔径与信号过孔一样均为10mil时,反射损耗减小非常明显;随着接地过孔孔径的进一步增大,信号的传输衰减呈递减趋势,但是趋势逐渐变缓。建议接地过孔的相关参数与其相邻的信号过孔一致。

这有两个好处:一是保证了信号的有效传输;二是减少钻孔的种类,从而提高制板生产的工作效率。

(3)接地过孔距离远近对信号传输质量的影响

接地过孔与信号过孔的间距从25mil到75mil之间变化时,对信号传输质量影响的仿真结果如下图所示。

通过仿真可以看出:接地过孔与信号过孔的间距对过孔传输衰减的作用不明显。考虑到信号从接地过孔处回流,可根据实际情况在距离信号过孔尽量近的位置放置接地过孔,以便实现回流路径的最小化。

来源:网络

版权归原作者所有,如有侵权,请联系删除。

发表评论

您的邮箱地址不会被公开。 必填项已用 * 标注