散热风扇选型

今天,我们来聊一下关于风扇的基本知识。

主要讲以下2大点,

  • 风扇技术参数与基本结构构成(噪声、转速、PQ曲线…)

  • 风扇选型流程(计算选型、串并联…)

1.风扇技术参数与基本结构构成

风扇是用来加速空气流动的部件,用来提高对流换热系数。通常又叫风机,也称Fan,分为轴流、离心风扇两种。

轴流风扇

轴流风扇的进风口与出风口平行风量大、风压小、噪音小,种类繁多、价格便宜,比如服务器、PC、机柜、逆变器、变频器等产品中应用的较多。

离心风扇

离心风扇的进风口与出风口垂直;风量小、风压高、噪音大、价格相对较高。比如笔记本、服务器显卡等受空间尺寸限制的产品中应用较多。

以轴流风扇为例,在做仿真时有一些关键参数需要设置,比如风扇的外框尺寸、厚度、HUB直径。

那么实际风扇的这些参数,可以在其相关文档中获取,如下图所示,

在做仿真时,对轴流风扇的设置,需要设定是顺时针还是逆时针,如下图所示(Flotherm版本,其他软件类似),

可以通过风扇的资料文档中给定的内容进行判断,如下图所示,

通过叶片旋转方向、气流流向来判断是顺时针、还是逆时针。

双滚珠轴流风扇的结构示意图

图片来源于网络

风扇噪声

由于风扇的特殊构造,在内部有马达高速旋转,所以必然会有噪声产生,噪声的测试方法,一般会在风扇的文档中提到,如下图所示,

即,风扇规格书中的噪音测试环境为:额定电压满转速,自由场进风口1m处。

这个文档给出的噪声值,只能作为参考,不能作为风扇在系统中实际的噪声。还受限于风扇转速、风道形式、风路上的结构件、固定方式结构件共振等多种因素。

有看到过这样的说法

当两颗风扇以同样转速运转时,其噪音为单颗风扇+3dB(A);风扇转速降低一半,其噪音降低15分贝(有待考证)。

噪音测试的方法:依据IS0 3744,IS0 3745,IS0 7779,CNS 6753,JIS 8346测试规范,感兴趣的可以自行下载查阅了解。

风扇转速与角速度

风扇的转速,即风扇扇叶在单位时间内旋转的圈数,单位一般为rpm,即转/分钟。

 

仿真的时候,有的人不知道如何做单位换算,如下图所示,

 

换算公式如下:

1rpm=1*2π rad/60s=0.105rad/s

转速可以影响到风速、风量、风压、噪音、使用寿命等。转速越高,风扇性能越强即风速越快,风量越大,风压越大。

相应的,转速高,摩擦、振动的情况就会更严重,导致噪音大,轴承的损耗大,风扇的使用寿命就短。

风扇的风量与风压

风扇PQ曲线与系统阻抗曲线

如上图所示,风扇选型后,其提供的风量和静压强存在的关系即为PQ曲线,放到系统中后,受到内部系统影响,风量和压降之间的关系为系统阻抗曲线,其交点即为风扇实际工作点。

这里我们可以引申出系统阻抗曲线的仿真或试验测试工作,这里不赘述。

不同风扇在同一系统中使用时的阻抗不一,实际工作点也有差异,阻抗的高低,我们可以通过压强来判断,通俗来讲较高系统阻抗,就是内部的压强阻力更大……

2.风扇选型流程

 

  • 确定系统风量需求

  • 确定系统空间尺寸限制(风扇尺寸上限)

  • 确认系统对风扇的噪声限制

  • 确认系统阻抗

  • 找供应商索取风扇资料

  • 仿真分析或实验测试

如仍然不满足,则重复上述流程。

风量计算

能量守恒定律,P=ρ*Cp*Q*δTambient,计算时注意国际单位换算。

所选风机的最大风量建议满足,

Qmax=2.0*Q

Q为上述计算所得的值,设置2倍(也有文章说1.5倍)的理由是,考虑风扇的实际工作点,实际风量并不是最大风量。

尺寸选择

在结构尺寸限制确定好后,我们依据的原则是,相同的风量和风压,尺寸越大的风扇,噪音越低。

 

然后找供应商要相关尺寸的风机资料,确定PQ值,开始做初步的热设计仿真分析,得出仿真的实际工作点。

 

依据前面所提到的阻抗曲线(较高、一般、较低的阻抗曲线),判断风扇选型在系统中的表现,并进行合适的方案调整。

初步选型时,一般很难做到一次成功,提供优化的思路,如下几点建议,

 

  • 更换风扇,选择更好的风压、风量进行测试对比;

  • 改善散热器设计,散热齿间距、换热面积等;

  • 加大进出风口面积;

  • 改善流道上的结构组件,减少阻力;

……

最后,要提一下,对于大型的机柜或损耗较大,功率密度较高的模块或设备,仍然需要使用风冷的情况下,可以使用并联或串联的设计方案。

 

风扇的串联与并联

 

串并联示意图

选择的原则:

串联:当系统中的阻力较大时,需要更高的风压的情况,优先考虑;

并联:系统中的阻力较小时,需要更大的风量的情况优先考虑;

 

当然还得考虑多个风机在系统后,整体系统噪声的影响,这个大家可以通过仿真、计算或者实际测试来验证。

 

下面给大家一些简单的计算参考,

同一规格的风扇可理论推导,风扇数量每增一倍,噪音增加3dB。

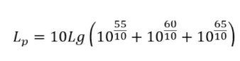
可直接计算:总噪音= 10log(风扇个数)+单个风扇噪音。如,单个风扇41dB,3个并联噪音为:10log3+41=45.77dB。

不同规格的风扇

例如:当三个风扇噪音分别为55dB、60dB、65dB,在同一系统内使用时,他们产生的噪音为:

发表评论

您的邮箱地址不会被公开。 必填项已用 * 标注