PID通俗易懂


很多同学都不清楚 PID 是个什么东西,因为很多不是自动化的学生。他们开口就要资料,要程序。这是明显的学习方法不对,起码,首先,你要理解 PID 是个什么东西。

本文以通俗的理解,以小车纵向控制举例说明 PID 的一些理解。首先,为什么要做 PID?由于外界原因,小车的实际速度有时不稳定,这是其一,要让小车以最快的时间达到既定的目标速度,这是其二。速度控制系统是闭环,才能满足整个系统 的稳定要求,毕竟速度是系统参数之一,这是其三.小车调速肯定不是线性的,外界因素那么多,没人能证明是线性的。如果是线性的,直接用P就可以了。比如在PWM=60%时,速度是2M/S,那么你要它3M/S,就把 PWM 提高到90%因为90/60=3/2,这样一来太完美了。完美是不可能的。那么不是线性的,要怎么怎么控制 PWM 使速度达到定的速度呢?即要快,又要准,又要狠。(即快准狠)系统这个速度的调整过程就必须通过某个算法调整,一般PID就是这个所用的算法。

可能你会想到,如果通过编码器测得现在的速度是2.0m/s,要达到2.3m/s 的速度,那么我把 pwm 增大一点不就行了吗?是的,增大 pwm 多少呢?必须要通过算法,因为 PWM和速度是个什么关系,对于整个系统来说,谁也不知道。要一点一点的试,加个1%,不够,再加1%还是不够,那么第三次你还会加1%吗?很有可能就加2%了。通过 PID 三个参数得到一个表达式:△ PWM=a *△ V1+b *△ V2+c *△ V3,a b c 是通过PID的那个长长的公式展开,然后化简后的数字,△V1,△V2,△V3此前第一次调整后的速度差 ,第二次调整后的速度差,第三次。。。。。一句话,PID 要使当前速度达到目标速度最快,需要建立如何调整 pwm 和速度之间的关系。

输入输出是什么:输入就是前次速度,前前次速度,前前前次速度。输出就是你的 PWM 应该增加或减小多少。

为了避免教科书公式化的说明,本文用口语化和通俗的语言描述。虽然不一定恰当,但意思差不多,就是那个事。如果要彻头彻尾地弄 PID,建议多调试,写几个仿真程序。

PID 一般有两种:位置式 PID 和增量式 PID。在小车里一般用增量式,为什么呢?位置式 PID 的输出与过去的所有状态有关,计算时要对 e(每一次的控制误差)进行累加,这个计算量非常大,而且没有必要。而且小车的 PID 控制器的输出并不是绝对数值,而是一个△,代表增多少,减多少。换句话说,通过增量 PID 算法,每次输出是 PWM 要增加多少或者减小多少,而不是 PWM 的实际值。

下面均以增量式 PID 说明。

这里再说一下 P、I、D 三个参数的作用。P=Proportion,比例的意思,I是Integral,积分,D是Differential微分。

打个比方,如果现在的输出是1,目标输出是100,那么 P 的作用是以最快的速度达到100,把 P 理解为一个系数即可;而 I 呢?大家学过高数的,0的积分才能是一个常数,I 就是使误差为0而起调和作用;D 呢?大家都知道微分是求导数,导数代表切线是吧,切线的方向就是最快到至高点的方向。这样理解,最快获得最优解,那么微分就是加快调节过程的作用了。

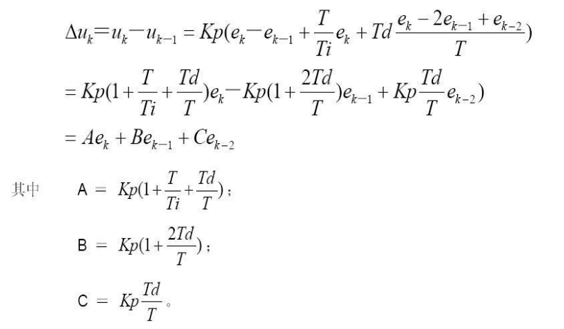
公式本来需要推导的,我就不来这一套了。直接贴出来:看看最后的结果:△Uk=A*e(k)+B*e(k-1)+C*e(k-2)

这里KP是P的值TD是D的值1/Ti是I的值,都是常数,哦,还有一个 T,T 是采样周期,也是已知。而 A B C 是由PID换算来的,按这个公式,就可以简化计算量了,因为 P I D 是常数,那么 A B C 可以用一个宏表示。这样看来,只需要求e(k)、e(k-1)、e(k-2)就可以知道△Uk的值了,按照△Uk 来调节 PWM 的大小就OK 了。PID 三个参数的确定有很多方法,不在本文讨论范围内。采样周期也是有据可依的,不能太大,也不能太小。

PID 实际编程的过程的,要注意的东西还是有几点的。PID 这东西可以做得很深。

1、PID 的诊定。凑试法,临界比例法,经验法。

2 、T 的确定,采样周期应远小于过程的扰动信号的周期,在小车程序中一般是 ms 级别。

3 、目标速度何时赋值问题,如何更新新的目标速度?这个问题一般的人都忽略了。目标速度肯定不是个恒定的,那么何时改变目标速度呢?

4 、改变了目标速度,那么e(k)、e(k-1)、e(k-2)怎么改变呢?是赋0还是要怎么变?

5 、是不是 PID 要一直开着?

6 、error 为多少时就可以当速度已达到目标?

7、 PID 的优先级怎么处理,如果和图像采集有冲突怎么办?

8 、PID 的输入是速度,输出是 PWM,按理说 PWM 产生速度,但二者不是同一个东西,有没有问题?

9 、PID 计算如何优化其速度?指针,汇编,移位?都可以试!

//*****************************************************
//定义 PID 结构体
//*****************************************************
typedef struct PID
{
  int SetPoint; //设定目标 Desired Value
  double Proportion; //比例常数 Proportional Const
  double Integral; //积分常数 Integral Const
  double Derivative; //微分常数 Derivative Const
  int LastError; //Error[-1]
  int PrevError; //Error[-2]
} PID;
//*****************************************************
//定义相关宏
//*****************************************************
#define P_DATA 100
#define I_DATA 0.6
#define D_DATA 1

#define HAVE_NEW_VELOCITY 0X01
//*****************************************************
//声明 PID 实体
//*****************************************************
static PID sPID;
static PID *sptr = &sPID;
//*****************************************************
//PID 参数初始化
//*****************************************************
void IncPIDInit(void)
{
  sptr->LastError = 0; //Error[-1]
  sptr->PrevError = 0; //Error[-2]
  sptr->Proportion = P_DATA; //比例常数 Proportional Const
  sptr->Integral = I_DATA; //积分常数 Integral Const
  sptr->Derivative = D_DATA; //微分常数 Derivative Const
  sptr->SetPoint =100; 目标是 100
}
//*****************************************************
//增量式 PID 控制设计
//*****************************************************
int IncPIDCalc(int NextPoint)
{
  int iError, iIncpid; //当前误差
  iError = sptr->SetPoint - NextPoint; //增量计算
  iIncpid = sptr->Proportion * iError //E[k]项
  - sptr->Integral * sptr->LastError //E[k-1]项
  + sptr->Derivative * sptr->PrevError; //E[k-2]项
  sptr->PrevError = sptr->LastError; //存储误差,用于下次计算
  sptr->LastError = iError;
  return(iIncpid); //返回增量值
}
Int g_CurrentVelocity;
Int g_Flag;
void main(void)
{
  DisableInterrupt
  InitMCu();
  IncPIDInit();
  g_CurrentVelocity=0; //全局变量也初始化
  g_Flag=0; //全局变量也初始化
  EnableInterrupt;
  While(1)
  {
    if (g_Flag& HAVE_NEW_VELOCITY)
    {
      PWMOUT+= IncPIDCalc(CurrentVelocity);
      g_Flag&=~ HAVE_NEW_VELOCITY;
    }
  }
}
//****************************************
//采样周期 T
//****************************************
Interrrupt TIME void
{
  CurrentVelocity =GetCurrentVelocity;
  g_Flag|= HAVE_NEW_VELOCITY;
}

往期精彩

步进电机驱动在3D打印应用的学习笔记(一)

光固化3D打印悬空和支撑讲解

3D打印过程与最近的学习成果

两个最常用的3D打印机切片软件

3D打印机marlin固件框架与GCode命令总结

3D打印机Marlin固件串口功能解析和程序移植

3D打印Marlin2.0固件源代码分析之参数存储方式实现

3D打印Marlin2.0固件源代码分析之如何使用LOG接口调试代码

让野火F103开发板支持Marlin2.0固件是什么体验?3D打印主控板成员+1

开源Marlin2.x源代码架构学习笔记

觉得本次分享的文章对您有帮助,随手点[在看]并转发分享,也是对我的支持。

发表评论

您的邮箱地址不会被公开。 必填项已用 * 标注