PCB中产生信号skew的因素介绍

Skew是传播延迟与所需参考时间的偏差,在传统的并行同步总线中,在并行总线的数据线和一个单独的定时信号之间的skew是很重要的,这种情况下,通常在时序信号的传输和负载单端信号的传输之间存在skew。skew的主要来源是线路上器件的长度差和负载,PCB线路的传播特性变化只占较小的程度,超过几百Mbps时,须通过使用前向或嵌入式时钟来减少倾斜,但由于采用了嵌入式时钟,在高速信号中lane与lane间偏移的重要性较低。大多数高速中使用的差分信号,串行设计需要在lane差分对内信号间进行严格的skew管理,多gbps数据速率可能只允许在信号恶化(如模式转换、信号幅度降低或EMC问题)之前出现几ps的偏差。因此,对于点对点拓扑结构和长PCB走线而言,需要将新的重点放在由于弯曲、转弯、玻璃编织效应以及差分对线间不对称而导致的传播速度的局部变化上。

    

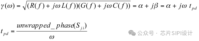
skew是信号相对于某个参考时间的到达时间误差,它本质上是一个时域参数,依赖于传播延迟的测量。无论是在时域还是频域测量skew,需要参考时间和参考电平,如下图所示,只要在源端和对端的传输波形形状不相同,(传播)延迟值就取决于选择的参考电平,从而引入进一步的不确定性。

 

    

当信号在色散有损介质中传播时,参考电平的选择就变得非常重要,信号的大小和波形都会发生变化。当在频域测量延迟时,可以计算参考信号和目标信号的相位延迟或群延迟(相位延迟的导数),但这些延迟数将是频率的函数,下图显示了从单个均匀传输线的S参数计算的相位和群延迟。

 

    

从上面的结果可以观察到,相位延迟和群延迟都随着频率的增加而衰减,并且在低频时都更陡峭,这种现象与电感和电容随频率升高而减小有关,这也意味着群延迟线运行在相位延迟线以下。

 

    

上图中的仿真数据是假设互连是阻抗匹配的,当参考阻抗不等于特性阻抗时,延时值也会被反射的大小影响,如下图所示,这就最终牵涉到局部变化的传播速度和特性阻抗的影响。

 

    

当反射存在时,稳态(频域)和瞬态时域延迟将不同:瞬态入射波延迟保持不变,稳态相位和群延迟随频率呈现周期性波动。反射对稳态延迟有影响的事实表明,在上面的表达式中,可以从实际传递函数(例如Vout/Vsource)而不是从S参数中计算相位,因为S参数不携带有关源和负载反射的信息。在上图中,注意到相位延迟和群延迟的值都低于线路的40ps延迟,而在下图中也可以看到类似的趋势,但由于损失带来的分散,这种影响不那么明显。

 

    

如果将不匹配的程度继续加大来看看延时的变化情况,假设存在不匹配的比例为10:1,不匹配的第一个最小相位延迟为30.8ps(如上图)。10,000:1不匹配的第一个最小相位延迟为20ps,这是40ps值的一半,如下图显示。第一个最小值出现在12.5GHz,对应于用40ps延迟值计算的半波长共振,在12.5GHz谐振之后,相位延迟跳升至60ps,最终在更高的频率下稳定在40ps。与预期的40ps值有如此大的偏差的原因可以用相位曲线来解释:它现在本质上是一个从-90度开始的阶梯,端接在高阻抗处的传输线可以简化为由电流源驱动的静态电容,该电流源是具有恒定相移的积分电路。

 

    

上述的这种比较极端的匹配端接不能用在实际信号传输的互连,而是使用互连信号在半波长谐振周围的窄带频率范围上的传输,上图也说明了不匹配的相位延迟可以低于匹配的相位延迟的物理原因。

    

差分对内线间的任何不对称都会导致相位延迟的差异,从而导致时域响应中的信号失真,接下来考虑两个12in长的差分对,其中测量到的对内相位延迟差分别为3ps和18ps,如下图。该差分对连接到差分源,该差分源定义为在-500mv和+500mv之间转换的阶跃函数,上升时间为50ps。

 

    

对比两幅图可以看出,在时域响应中确实出现了对内偏态,并且skew得到了很好的保留。因此,无论上升时间如何,单个瞬态边缘的所得skew都保持不变,这表明skew可以在宽数据速率范围内影响差分信号质量,相反,当沿着信号路径有多个反射时,产生的频率相关相位延迟会产生上升时间相关的skew。

 

     从走线的方式上讲,当布线复杂的电路板时,需要多次弯曲或转弯的走线,这在差分走线对中会导致长度差异,因此存在长度变化的确定性因素,这样在每一个拐弯处,外轨迹都会有一点额外的长度。下图显示了四种常见的情况:a)为参考直线蚀刻,b)、c)和d)分别为90度急转弯、双45度转弯和弧形90度转弯的差分对。每种情况上面的表达式表示中心线长度差。

 

    

结合上述图中的表达式,假设w=s=6mil,tpd=150ps/in,课可以得到24mil、19.9mil和18.8mil的中心线差异,以及情况b)、c)和d)的计算的skew分别为3.6ps、2.99ps和2.82ps,对于上述三种几何形状,长度差与走线宽度和走线距离的总和成正比,这表明,一般来说弯曲处更窄和更紧密的耦合走线会产生更少的skew。

    

弯曲和转弯有点类似于通孔,通孔是带有附加特征(PAD和Anti-PAD)的垂直直角转弯,可能会产生更多的不连续和传播延迟的变化。下面继续来看看实际layout设计中引入skew的其他因素。

    

不对称的过孔背钻也是产生skew的来源之一,考虑一对差分通孔,由68mil长的通孔、PAD和通孔stubs组成,如下图所示,桩部在回钻过程中无法去除的孔段中,它们的长度可以在制造公差范围内随机变化,因为任何不对称都可能导致skew。

 

    

下图显示了Loss的仿真情况,虽然差异很小,但损耗的特征更多地在于较长stub的长度,而不是不对称。然而,从图中左边的模式转换曲线可以看出,不对称stub长度增加了更多的差分信号转换为共模信号。

 

    

下图右侧为计算的差分skew结果,在14 GHz及以上的情况下有1ps的倾斜,虽然stub长度的不对称可能会导致较大的倾斜,但stub长度的变化不太可能发生在单个板内。

 

    

接下来看看PCB材料对skew的影响,用于制造印刷电路板的介电材料包括树脂/环氧树脂和玻璃编织,树脂和玻璃织物的电性能不同,这导致了不均匀的环境,尽管实际的电介质被视为均匀的,玻璃编织是填充和经纱交织的组合。在填充/经纱之间玻璃纤维具有一定的pitch和spacing,这些参数取决于材料的类型。由于PCB制造的限制,这些织线并不总是与走线对齐,这是差分信号的一个问题,因为差分对的每个分支的织迹对齐可能不相同,这增加了共模转换和差分skew。

 

     下图显示了一条96mil的带状线,在走线的顶部和底部都有3313个玻璃束,3313玻璃的potch约为16mil,厚度为3.4mil。如果两条差分单端线在编织方面完全对称,则差分走线是对称的,但由于PCB板的变化,P线可能完全在织物下面,N线可能部分在填充/经纱分离下面。

 

    

下图(左)显示了6in走线的差示skew是如何变化的,在所有这些仿真中,为了简单起见,假设顶部和底部的编织一起移动,在实际设计中,这些可能是独立的变量,可以减少skew,当偏移量为0/8/16mil时,P和N非常接近对称;同样,当偏移量为4/12mil时,它们是相当不对称的。

 

    

在最坏的情况下,由于这些不对齐导致的skew可能会显著增加。对于一个正常的6-6 6mil 6in差分信号最坏的情况下偏斜在30 ps左右,也就是5ps/英寸。由于每条走线看到的是不同的介电组合,所以斜度随偏移量而变化。对于4.2-3.2-4.2密耳的neck-down走线,最坏的情况下skew增加到9ps/英寸。Neck-down的走线引起的skew更大,因为更薄的走线,这使得差分信号更加不对称。

 

    

减少skew的一种方法是使用一种不同的玻璃材料,这种材料的厚度较小,间距更紧,并且使用两层而不是单层。更薄的玻璃材料减少了对skew的影响,因为即使当走线不对称时,走线也暴露在更少的编织中,由于玻璃束水平展开,双层材料有助于进一步减少倾斜。但仅仅是厚度的减少(采用2层1035,每层厚度1.1mil)减少了与单层相比的skew。与之相比,skew的减小可以在上图(右)中看到,迹织偏移量以1mil的增量变化。对于相同的6in带状线,最坏情况下的倾斜从5ps/in减少到3ps/in。

    

PCB制造的限制也可能导致走线不平行于编织,相反,织物与走线呈一定角度,这个角度也会对skew产生影响。下图显示了当编织角度相对于走线从0度到45度变化时,skew是如何变化的。左图显示了织距走线为0mil时的偏度变化,观察到skew随角度变化不明显。但当迹织偏移是4mil(右图)时,角度的微小变化可以显著降低skew,对于小的迹织角(距离零几度),skew不会显着减少。除此之外,还看到了确保织物按照轨迹旋转的显著好处。

 

    

skew的一个主要后果是共振,这是由相位翻转引起的,随着skew的增加,共振频率将被拉低,使得这些共振可能落在一些SERDES链路的工作速度之内。下图显示了50Ohm 10in 带状线在迹织偏移从0到16mil变化时的差分插入损耗。

 

    

可以看到,当走线偏移0/8/16mil时,没有共振,但在其他情况下,在奇数次谐波处有共振。当偏移量为4/12mil时,最坏的情况下skew约为9ps/in,这对应于谐振在5.5GHz的一次谐波。

 

     skew在实际的高速信号设计时会由很多的因素引起,产生的Skew也会噪声信号性能的降低,特别是高速信号。

发表评论

您的邮箱地址不会被公开。 必填项已用 * 标注