什么是差分阻抗?

简单来说,差分阻抗是当两个互补信号以相反极性传输时,一对传输线的瞬时阻抗。对于印刷电路板 (PCB),这是一对走线,也称为差分对。我们关心保持相同的差分阻抗的原因与我们关心保持单端 (SE) 传输线相同的瞬时阻抗的原因相同:避免反射。

 

除了保持正确的差分阻抗外,差分对实际上没有什么特别之处。但您必须了解差分对中走线间距的含义。

 

差分阻抗只是每条走线奇模阻抗的两倍。SE 阻抗是单条走线的阻抗,只有当它们之间几乎没有或没有对内耦合时,它才等于奇模阻抗。当走线靠得更近时,差分阻抗会降低,除非调整线宽进行补偿。(稍后会详细介绍。)

 

图 1 显示了差分驱动的一对边缘耦合带状线迹线对内耦合的影响。上图显示了一对相距 3.5 个线宽的松耦合迹线周围的电磁场。下图显示了一对相距 1.5 个线宽的紧密耦合迹线。红色正迹线是流入页面的电流,而蓝色负迹线是流出页面的电流。

 

每条迹线周围的圆形线是代表环路电感的磁场。旋转方向基于电流方向,使用右手定则。电场 (e-field) 线垂直于磁场线。它们是电容的量度。

图 1. 差分驱动的一对边缘耦合带状线迹线对内耦合的影响。上图显示了相距 3.5 个线宽的松耦合迹线对周围的电磁场。下图显示了相距 1.5 个线宽的紧密耦合迹线对。

 

当迹线松散耦合时,电场线和磁场线在每条迹线周围相当对称,并且彼此之间是中心线的镜像。大部分相应的电场耦合都与参考接地平面耦合。随着迹线彼此靠近,反向旋转的环会压缩在中心线周围,从而降低电感。同时,每条迹线内边缘的更多电场线倾向于彼此耦合,从而增加电容。

 

由于电磁场沿中心线相互作用的方式,我们可以将其视为虚拟接地 (VGND) 参考平面。它们的行为方式与它们之间有一个实体参考平面完全相同。   

 

奇模阻抗

 

考虑一对等宽微带线迹线,标记为 1 和 2,它们之间的间距恒定,如图 2 所示。假设传输线无损,每条单独的迹线在隔离驱动时都将具有 SE 特性阻抗Zo,由相对于 GND 参考平面的自环电感(L11、L22)和自电容(C11、C22)定义。

 

当走线对以差分方式驱动时,传播模式为奇数。电磁场相互作用如图1所示。当走线对间距较小时,将存在由互感(Lm)和互容(Cm)定义的电磁耦合。

 

走线与参考平面的接近程度会影响走线之间的电磁耦合量。走线越靠近参考平面,自环电感越低,自电容越强;从而导致走线之间的互感越低,互电容越弱。最终结果是差分阻抗越低。

图 2. 当线 1 和线 2 以差分方式驱动时,一对微带线显示自环电感 (L11、L22)、自电容 (C11、C22)、互电容 (Cm) 和互感 (Lm)。

 

通常使用 2D 场求解器来提取给定几何形状的参数。提取电阻、电感、电导和电容 (RLGC) 参数后,可以按如下方式设置 LC 矩阵:

L11 L12 C11 C12

L21 L22 C21 C22

 

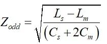
走线 1 和 2 的自环电感和自电容分别为 L11、C11、L22、C22。在完全对称的差分对中,每个矩阵中的非对角线 (12, 21) 项分别为互感和互电容。LC 矩阵可用于确定奇模阻抗。它可以通过以下公式计算 [1]:

等式 1

 

在哪里:

Zodd = 奇模阻抗

Ls = 自环电感 = 11 = 22

Cs = 自电容 = 11 = 22

Lm = 互感 = 12 = 21

Cm = 互电容 = | 12 |=| 21 |

 

例子

使用 Polar SI9000 场解算器比较了松耦合对(具有 4 mil 走线,间隔 20 mil)与具有相同介电厚度的 SE 传输线(见图 3)。LC 矩阵是在 10GHz 下提取的。可以看出,松耦合对的奇模阻抗等于 SE 走线的特征阻抗,因此差分阻抗相同。

图 3. 松耦合对(左)与 SE 传输线(右)的比较,前者具有 4 mil 的走线,间隔 20 mil,后者具有相同的介电厚度。松耦合对的奇模阻抗等于 SE 走线的特性阻抗。

 

但是,如果您布置一对紧密耦合的走线,则奇模阻抗小于相同走线宽度的 SE 阻抗(除非您调整线宽)。例如,在图 4 的左侧,4-4-4 mil 几何形状的差分阻抗为 91 欧姆。为了获得 100 欧姆的差分阻抗,必须将线宽减小到 3.35 mil,并将间距调整到 4.65 mil,以保持相同的 12 mil 中心间距,如右图所示。

图 4. 4-4-4 mil 几何形状(左)与 3.35-4.65-3.35 几何形状(右)的比较,在相同中心-中心间距下实现 100 欧姆差分阻抗。

 

但事情并没有结束。

对于某些行业标准,通常存在一个非常短距离 (VSR) 规范,其中定义了最大信道损耗。例如,IEEE 802.3 CAUI-4 芯片模块 (C2M) 规范在 12.89 GHz 奈奎斯特频率下从芯片引脚到面板模块引脚(例如小型可插拔 (SFP) 模块)的预算为 7.5 dB。由于现代机架顶置式路由器和交换机,主交换机芯片和 SFP 模块之间有 10 英寸或更大的距离并不罕见,差分对几何设计对于满足差分阻抗和插入损耗 (IL) 非常重要。

 

减小线宽和更紧密的耦合会导致通道长度上的损耗更高。使用上述示例,图 5 中绘制了所有三个差分对的差分 IL。松耦合显示为绿色;没有线宽调整的紧密耦合 (Tight1) 显示为红色,而有线宽调整的紧密耦合 (Tight2) 显示为蓝色。

 

如您所见,在 12.89 GHz 下,松耦合和两个紧耦合示例在 10.6 英寸范围内相差约半个 dB。紧耦合可降低 IL,无论线宽是否调整以满足差分阻抗。在此示例中,紧耦合 1 和紧耦合 2 之间只有 0.1 dB 的增量,这表明大部分较高的损耗是由于更紧密的耦合造成的。

图 5. 松耦合的差分 IL 比较(绿色);无线宽调整的紧耦合 1(红色)和有线宽调整的紧耦合 2(蓝色)。


这可以通过回顾 SE 到差分混合模式转换来解释。给定一个 4 端口 S 参数,SE 端口阶数如图 6 所示,差分 IL 由以下公式确定:

等式 2

  

 

SDD21 = 差分 IL,由端口 2 输出的差分信号与进入端口 1 的差分信号之比定义

S21 = SE IL,由从端口 2 发出的 SE 信号与进入端口 1 的 SE 信号之比定义

S43 = SE IL,由从端口 4 发出的 SE 信号与进入端口 3 的 SE 信号之比定义

S23 = 从端口 3 到端口 2 的远端串扰耦合

S43 = 从端口 4 到端口 3 的远端串扰耦合

从公式 2 可以看出,当走线越来越近,耦合项越来越大时,差分 IL 就会增加。

图 6.SE 4 端口 S 参数端口标签。


图 7 绘制了所有三个示例的差分 TDR。蓝色迹线的单调上升曲线更陡峭,这是因为 3.35 mil 迹线的电阻损耗更高,而其他两个示例中的 4 mil 迹线则相反。

图 7. 松耦合的差分 TDR 比较(绿色);无线宽调整的紧耦合 1(红色)和有线宽调整的紧耦合 2(蓝色)。

 

总而言之,差分对是紧密耦合还是松散耦合并不重要。经过适当设计,两者都可以设计为与输出驱动器阻抗正确匹配。但正如我们所见,每种方法都有优点和缺点。

耦合越紧密,布线密度越高,但损耗越大。松耦合可以更轻松地绕过障碍物,减少损耗。但无论哪种情况,都必须针对差分阻抗进行设计和测量。

 

那么为什么这很重要?

PCB 制造厂使用阻抗作为衡量标准,以确定电路板是否按照规格制造。由于紧密间距的一对走线的奇模阻抗取决于对两条走线的差分驱动,因此您无法像测量两条非耦合走线那样,仅通过测量紧密耦合对的 SE 阻抗来确定差分阻抗。

             

发表评论

您的邮箱地址不会被公开。 必填项已用 * 标注