开源智能手表ZSWatch

ZSWatch是一个包括硬件和软件全部开源智能手表,因为ZSWatch建立在Zephyr RTOS之上,因此得名ZSWatch-Zephyr Smartwatch,目前该项目在Github上开源。

 

Zephyr最初是由Wind River公司开发的一个微内核,在2016年的时候成为Linux基金会维护的一个项目,发展至今,已经成为了一个功能齐全的嵌入式OS。平台现在支持ARM、RISC-V、X86、Xtensa等等处理器平台,拥有原生的BLE协议栈、完整的Net协议栈,包括TCP/IP与应用层协议,为嵌入式应用的开发提供了有力的支持。

 

ZSWatch 靓照

Github地址(目前ZSWatch已经更新到V2版本)

https://github.com/jakkra/ZSWatch

https://github.com/jakkra/ZSWatch-HW        

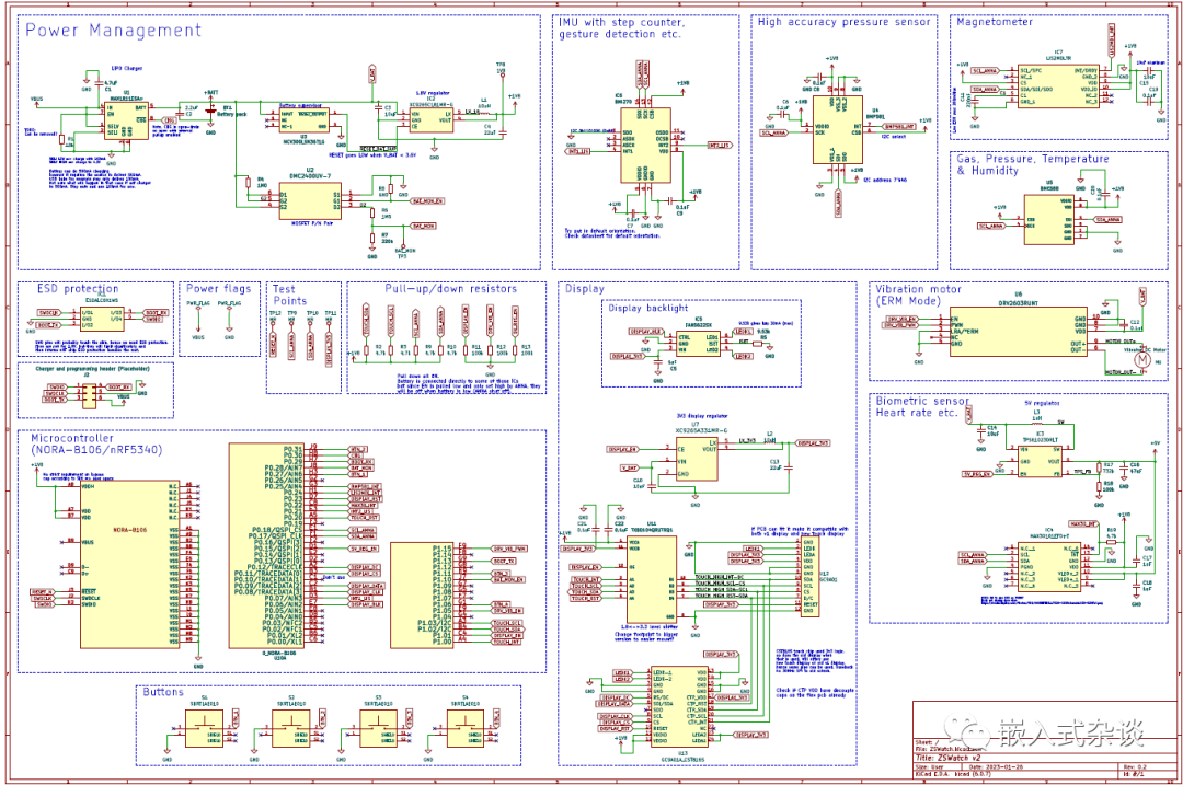
硬件原理图(V2版本)

PCB(直径为 36 毫米的 4 层电路板)

主要器件(V2版本)    

  1. u-blox NORA-B10低功耗模块(基于Nordic nRF5340 BLE芯片)

  • 双核 Cortex-M33
  • Arm TrustZone 和 CryptoCell 312 可增强安全性
  • 对 Bluetooth 5.2、Bluetooth Mesh、Thread、Zigbee 和 NFC 的多协议支持
  • 室内位置定向支持
  • 支持 BLE 音频
  • 高至 105°C 的扩充温度范围
  • UART、QSPI、SPI、I²C、I²S、USB、QDEC、PDM、PWM 和 ADC
  • 先进的设计规则可实现快速低成本的 PCB 设计

2.IPS TFT 圆形显示屏(1.28 英寸 分辨率240×240),带触摸,显示屏驱动IC为 GC9A01。

3.Bosch  BMI270 IMU(惯性测量单元),可实现多种功能,如使用手势导航,以及通过移动手臂唤醒智能手表等。使显示屏清晰可见。   

4.Bosch BME688  环境传感器(气体,湿度,压力,温度)。

5.Bosch BMP581 气压传感器具有 300 hPa 至 1250 hPa 的宽测量范围和 ±30 Pa 的绝对精度。

6.ST LIS2MDLTR 磁力计。

7.Renesas AT25SL128A 16 MB 外部闪存。

8.Broadcom APDS-9306-065 光传感器,用于自动亮度控制。

9.当然可以选择不安装某些传感器以节省BOM成本。

3D打印的外壳结构件

充电底座(目前仍为V1版本)    

软件功能

  • 通过 Android 应用程序 GadgetBridge 与智能手机进行交互和控制。
  • 表盘界面,可以显示时钟、日期、电池电量、天气预报、已走步数、环境数据、未读通知数量和心率。
  • 易于扩展的设置菜单系统
  • 音乐控制应用程序,指南针应用程序等
  • 支持蓝牙测向定位,让您可以将手表用作任何 u-blox AoA 板跟踪的标签。

与手机进行通信

安卓手机

有一款名为 GadgetBridge 的出色 Android 应用程序可以处理手机端所需的一切功能,如通知管理、音乐控制等…… ZSWatch 现在是 Gadgetbridge 支持的智能手表之一,使用与它相同的 API。

配对

在手表中进入 "设置"->"蓝牙"->"启用配对,在从 Gadgetbridge 应用程序重新连接手表。现在应该已经配对成功了。

iOS 设备通信

苹果公开了苹果通知中心服务 GATT 服务器,用于处理手机端的通知管理,音乐控制也是通过苹果媒体服务以同样的方式完成的… ZSWatch 与 iOS 直接通信,无需额外的应用程序。

配对

在手表中进入设置 -> 蓝牙 -> 启用配对,现在进入设备设置 -> 蓝牙并选择 "ZSWatch"。系统会提示您配对并允许共享通知。

项目更新和进展

可以实现的功能几乎无穷无尽,请查看以下链接 关注该项目的全部进展。

https://github.com/users/jakkra/projects/1

发表评论

您的邮箱地址不会被公开。 必填项已用 * 标注