为什么热噪声的底噪是-174dBm/Hz?

在我们的电子设计中有一项逃不掉的干扰,那就是电子噪声。这些电子噪声通常包括:散弹噪声(Shot noise),热噪声(Thermal Noise),闪变噪声(Flicker Noise),突发噪声(Burst Noise)和雪崩噪声(Avalanche Noise)等。

电子噪声的来源多种多样,对电子设备的功能和性能产生了重大的影响。如何抑制和减少这些电子噪声的影响,在如今的电子设计中尤为重要。

这些噪声当中,有一项怎么也躲不过去的噪声,这种噪声几乎以一个常数来影响这接收机的灵敏度,也构成了接收机无法逾越的噪底极限—— -174dBm/Hz,它就是热噪声。

我们今天一起来认识一下它。

今天的我们都非常熟悉热噪声的来源——它是由导体中电子的布朗运动产生的电子噪声,它是温度变化的结果,存在于所有电子器件和传输介质中,既不能被减小,更不能被忽略,而且在所有频谱中都以相同的形态分布,构成了所有无线通信系统的上限。

根据其分布特点,热噪声也称为白噪声;同时为了纪念它的发现者——J.B.Johnson 和 Harry Nyquist,也称为约翰逊噪声或者奈奎斯特噪声,或者合称为约翰逊—奈奎斯特噪声。

热噪声的发现

奈奎斯特作为通信界大神级别的存在,相信每一个同学都不陌生,其最著名的奈奎斯特采样定律,构成了模拟信号数字化的理论基础。但其实热噪声真正的发现者是约翰逊。

1926年,约翰逊在贝尔实验室中首次发现并且第一次测量到热噪声,他把这个消息告诉了他的好朋友奈奎斯特,并且奈奎斯特也能够解释这种现象,于是就有了——  约翰逊 —奈奎斯特噪声。

可能有些同学会纳闷,这次是不是又被奈奎斯特抢了功劳?毕竟前有香农-奈奎斯特采样定律,这次又有约翰逊-奈奎斯特噪声。但是我想还是多虑了,这两位大神的关系可能非同寻常,都来自瑞典,然后移民美国,并且都在北达科他州大学完成的本科学习,并且都在耶鲁大学学习和做研究,之后辗转又都成了贝尔实验室的同事。在1928年又同时发表在物理杂志上的两篇论文又奠定了热噪声的基础。

Johnson, John B. “Thermal Agitation of Electricity in Conductors.” The Physical Review 32, no. 1 (1928): 97-109.

Nyquist, Harry. “Thermal Agitation of Electric Charge in Conductors.” The Physical Review 32, no. 1 (1928): 110-113.

热噪声的计算

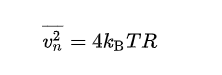
在通信中,电阻热噪声有两种表示方法,一种是采用并联等效电路,另一种是采用串联等效电路,如下图所示。并联等效电路是由一个无噪声电导G和一个功率 谱密度为2kTG的噪声电流源in(t)并联,串联等效电路则由一个无噪声电阻R和一个噪声电压源un(t)串联。两者间可用戴维南等效电源定理转换。

热噪声的单边功率谱密度可以由下面公式计算

其中,KB是玻尔兹曼常数,等于1.38*10^(-23)J/K ;

T是电阻的绝对温度,单位为K 开尔文 ;

R是电阻值,单位为 Ω  欧姆;

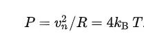
转换成功率就是

上式就是单位赫兹下的噪声功率谱密度P。

电阻器所产生的噪声可以传递至其余电路;最大的噪声功率传递发生在噪声产生阻抗与剩余电路的戴维南等效阻抗阻抗匹配时。在这种情况下两部分阻抗中的任意一个的耗散噪声均作用在其本身和其他电阻。由于其中的任何一个电阻只有一半的压降,因此噪声功率为:

考虑到信号都有一定的带宽, 因此噪声的功率谱公式又可以写作:

注意,上式中频率的单位为Hz。

我们射频人比较喜欢用dB来表示比较小或者大的数字,当然噪声功率也不例外。

把上面公式转换成dBm形式就是:

注意上面的1000是dBm中的m是毫瓦,毫瓦和瓦的换算系数是1000.

进一步化简,上式可以表示为:

如果只考虑室温情况下的噪声功率的话,室温下T0=294.15K,

准确的说,第一项的值为-173.9155206 dBm, 约为-174dBm,这也就是-174dBm/Hz的由来了。

如果信号带宽为1Hz的话,那么-174dBm,就是噪底了。如果信号带宽越宽的话,这个噪底被抬升的越高。

如下表所示:


	

作者:南峰说

HWRD

发表评论

您的邮箱地址不会被公开。 必填项已用 * 标注