光学非球面–Q-type非球面

本文主要讲述Q-type非球面的数学及光学特性,重点在理解其繁琐的数学表达式和怎样利用其数学特性来确保光学可加工性

光学行业的瓶颈在于加工而不在于设计,尤其是依赖于计算机的数值计算能力和优化算法的飞速发展,计算机辅助光学设计领域迎来了爆发,复杂的光学系统已经不是设计为瓶颈了。所设计的镜片能否被加工出实物成为了困扰光学设计师的一个难题,需要光学设计师了解加工等相关工艺,能够初步评估所设计镜片的可加工性。一个与光学加工相关的谚语:the less deviation from a sphere, the better,就要求所设计的镜片不能偏离球面太多,更为准确来说是镜片面形的曲率相对于球面曲率的变化率限制了可加工性。正是在这个背景下,G.W.Forbes博士提出了Q-type非球面和Q-type自由曲面的面形。Q-type自由曲面的面形见下一期文章。

 

常用的多项式非球面难以控制其面形相对于球面的偏离,且其各项基函数之间非正交,优化时会互相影响,影响优化的效率。Q-type非球面(CODE V中为Qbfs Polynomial Asphere)的提出可以很好地弥补多项式非球面的这两个劣势。以下对Q-type非球面的数学表达式做出推导和解释说明。首先球面的表达式:

 

在光学中常用的是这个表达式,而不是我们所熟知的顶点在原点的球面表达式:

 

 

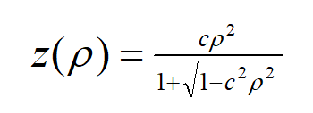
式中R表示球面的半径,其与曲率互为倒数。对上述式子进行化简并且将R替换为曲率的倒数可以得到:

 

现在就把球面的笛卡尔坐标系与极坐标系表达式对应起来了(后面有需要)。Q-type非球面规定相对于球面的偏移描述为沿球面法线方向的偏移,即

 

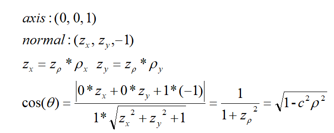
现在需要将法线方向的偏移dist1使用轴向的距离来表示,需要先知道法线与轴向夹角的余弦值:

 

求得了法线与轴向夹角的余弦值,dist2就可以表示为:

 

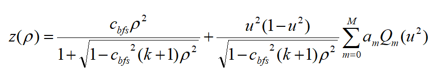
接下来的重点就是将非球面与球面沿法线方向的差距,使用正交基函数来表示。使用正交基函数的优势有二,其一为沿法线方向的偏离可以通过限制基函数系数的平方和大小来实现,其二为各项之间不会互相影响,便于找到优化的极值Q-type非球面的表达式为:

 

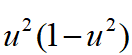
其表达式主要由两部分组成:球面+沿法线方向的偏离投影到Z轴方向,可以注意到多了一项:

加入这一项为了保证球面与非球面在孔径中心与边缘均重合

 

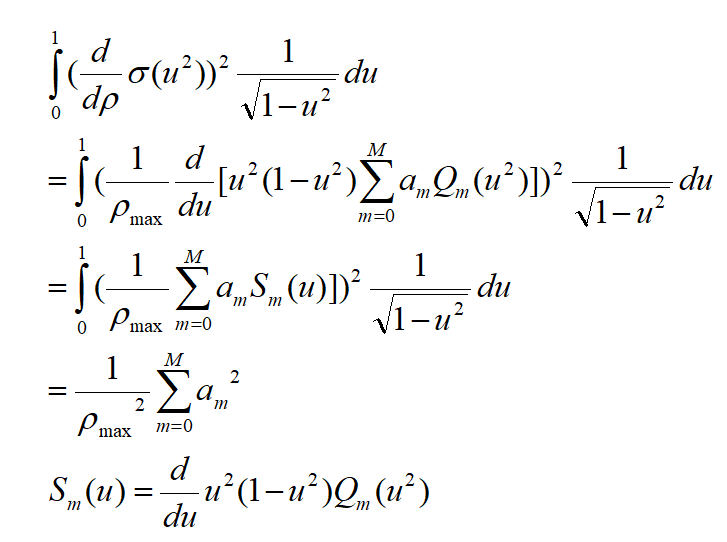
现在的问题是基函数表达式的形式是什么样的?首先将沿着法线方向的偏离剥离出来:

 

要求沿着法线方向偏离梯度的平方加权和等于基函数系数的平方,

 

展开该项表达式,

 

通过Gram-Schmidt正交法,迭代可以得到不同m所对应的Qm表达式。表达式表明可通过控制系数的平方和来限制非球面相对于球面的斜率变化速率,间接控制非球面相对于球面的偏离

 

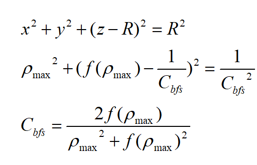
注意前面提到需要球面与非球面在孔径中心与边缘均重合,根据这个要求,我们可以求出最佳拟合球面的曲率Cbfs

 

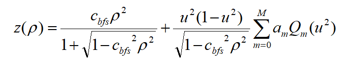
Q-type非球面的表达式可以改写为:

但是这还不是光学软件中使用的表达式,光学软件中使用的不是最佳拟合球面而是更一般的最佳拟合的二次曲面,即表达式中需要包含二次曲面常数,

 

 

加入了二次曲面的表达式与光学软件(CODE V)中一致了。

 

Q-type的表达式就决定了其可以通过控制基函数系数的平方和来限制曲面相对于球面偏离的距离,确保所设计非球面的可加工性,且其基函数的正交性保证优化时,参数空间不存在冗余,增加优化的效率,缩短优化的时间。值得注意的是,基函数并非在沿法线的偏离上正交,而是在该偏离的梯度上正交,即通过控制偏离的速率来限制其相对于球面的偏离(更加符合前面说的镜片面形的曲率相对于球面曲率的变化率限制了可加工性)。

发表评论

您的邮箱地址不会被公开。 必填项已用 * 标注