前几天写了一个光学设计公差分析中的光圈与曲率半径公差之间转化的帖子“公差分析中曲率半径公差与光圈的换算”,最后公式的转化未贴出来,昨天居然有一个之前我们公众号的粉丝,居然轻而易举推出了发给我了,非常赞,自己写帖子的时候也推了下 ,虽然推出了结果,但是过程太过潦草,也没弄出来,如下是这位朋友推导的手稿,只能说光学设计需要的就是这种能静下去的思维!
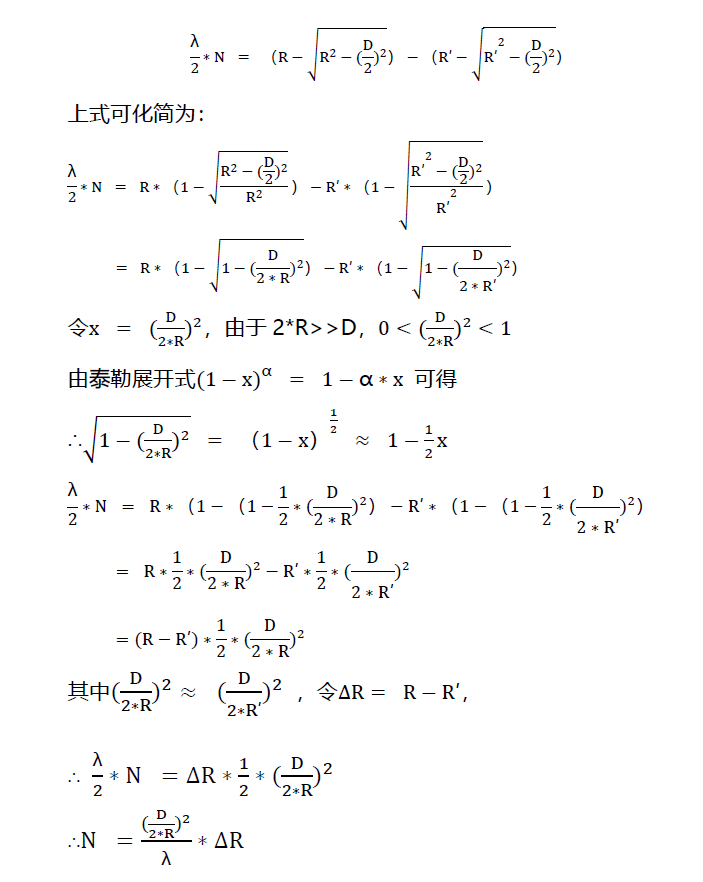
后来为了更好的展示,请这位朋友对公式整理了下word版本,如下所示:
又一个WordPress站点
前几天写了一个光学设计公差分析中的光圈与曲率半径公差之间转化的帖子“公差分析中曲率半径公差与光圈的换算”,最后公式的转化未贴出来,昨天居然有一个之前我们公众号的粉丝,居然轻而易举推出了发给我了,非常赞,自己写帖子的时候也推了下 ,虽然推出了结果,但是过程太过潦草,也没弄出来,如下是这位朋友推导的手稿,只能说光学设计需要的就是这种能静下去的思维!
后来为了更好的展示,请这位朋友对公式整理了下word版本,如下所示: