摘要:电磁超表面属于超材料的一种,是由许多亚波长纳米结构单元组成的二维功能性平面结构。根据惠更斯原理,超表面阵列可以任意调控光波的相位、振幅和偏振.与传统器件相比,基于这种超材料设计的光学功能器件最大的优势是其具有极薄的厚度。本文首先介绍了广义斯涅耳定律以及纳米单元结构调控相位的基本原理,重点归纳了电磁超表面在透镜成像技术方面的研究进展,包括等离子体超表面、全介质超表面以及金属/介质混合式超表面在成像方面的应用,最后指出了超表面在成像方面尚未解决的前沿问题以及与实际应用接轨的重要问题,希望能为以后的深入研究提供一定的参考和借鉴。
透镜的起源可以追溯到古希腊时代,在宗教仪式中用来汇聚太阳光点火或者在古文明时期作为一种装饰品。在中国古代也有关于透镜的记载,如“凡取火者,宜敲石取火,或水晶镜子于日得太阳火为妙”。另外,早在2000多年前的古罗马帝国,人们已经知道如何烧制玻璃并且知道了充满水的玻璃球具有放大功能。透镜是运用光的折射规律制作成的,根据功能需要可以设计成具有不同凹凸面形的镜片。人眼的晶状体也是一种性能优越的透镜,可以依靠肌肉的收缩来调节焦距,所以对于不同距离的物体都能清晰地在视网膜中成像。
如今,透镜已经成为成像系统的关键器件,是显微镜、数码相机、肠胃镜以及望远镜等现代科技产品的关键组成部分,广泛应用于科研、生活、医疗、军事等领域。传统的光学成像系统主要是通过多种类型的透镜组装而成,因而需要一个较为复杂的制造流程。随着现代光学系统的集成化发展,缩小光学器件的尺寸越来越具有挑战性。而且,摄影、可穿戴设备以及医疗器件的迅速发展要求光学系统具备高性能、低损耗、易集成的特点。因此,研究基于新型材料的光学成像器件迫在眉睫。
电磁超材料(metamaterial)是一种人工复合结构,它通过在材料亚波长尺度上电磁结构的有序设计,可以突破某些表观自然规律的限制,获得超出自然界固有电磁性质的超常材料功能。早在1967年,Veselago就提出了负折射超材料的可行性以及物理意义,他发现在这样一种负折射媒质当中可以产生一系列奇异的物理现象,例如逆多普勒频移、逆切伦科夫辐射以及反常折射等。2000年,Pendry理论证明了基于负折射超材料的平板透镜可以恢复物体的倏逝波信息,实现完美成像。目前,已经有很多关于负折射超材料平板透镜能突破衍射极限实现超分辨成像的实验和理论报道。然而,这些基于负折射的超材料平板透镜成像效率仍然很低,难以实用化。近几年出现的光学超表面(metasurface)属于光学超材料的一种,是由许多亚波长结构单元按照特定功能需要排列而形成的一种超薄二维平面结构。从原理上讲,它可以根据人们的需求任意改变光波的相位、振幅和偏振,从而实现对光场的波前调控。2011年,哈佛大学Capasso等提出了广义斯涅耳定律,并基于该定律设计了具有波前调控能力的平面光学材料,即超表面。所设计的材料采用一组不同结构参数的V形金纳米天线按照特定的规律排列在介质表面,其中每个纳米天线都可以看作一个相位控制器,该材料在波长8µm处实现了光的异常反射/折射效应。缩小V形金纳米天线单元的结构尺寸这个思想很快在近红外波段(1—2µm)也得到验证。
在国内,复旦大学周磊等设计了反射式相位梯度超表面(phase-gradientmetasurfaces),其结构单元由方形金纳米块/介质层/金反射层组成,该超表面阵列可以实现高效的异常反射。当入射角度增大到某个特定的临界角时,入射的传输波将被转化为表面波。随着研究热潮的掀起,众多研究团队开展了基于超表面的平面光学器件研究,其在许多领域,包括全息成像、涡旋光束、偏振转化和控制以及透镜成像等方面展现出巨大的应用前景。
本综述主要介绍了广义斯涅耳定律(generalizedSnell’slaw)以及纳米单元结构调控相位的两种机理,即光波在金属纳米结构中激发的局域表面等离子体共振引起的相位改变和光波在弱谐振介质柱波导中传播所引起的相位改变。重点归纳了电磁超表面在透镜成像方面的研究进展,包括等离子体超表面、全介质超表面以及金属/介质混合式超表面在成像方面的应用。最后指出了超表面在成像方面尚未解决的前沿问题以及与实际应用接轨的重要问题,为以后的深入研究指明了重点研究方向并提供了一定的参考和借鉴。
传统的光学器件主要依赖于斯涅耳定律,即光的折射定律。通过光波在不同厚度的介质内传播的过程中逐渐积累相位来改变光波的波前,实现光场的整形与调控。广义斯涅耳定律与传统斯涅耳定律不同,是在遵循费马原理的基础上,采用相位不连续的方式调控光波的波前,可以实现光波的反常反射与反常折射,甚至光场的任意调控。
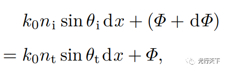
电磁超表面是基于广义斯涅耳定律发展起来的一种功能性的二维平面结构。如图1(a)所示,光波经过两种介质的交界面处,假设图中的两条路径无限接近于实际的光路。根据费马原理光波由A点经过两条不同的路径到达B点是等光程的,因此有
(1)

图1.广义斯涅耳折射定律示意图

图 4 (a) 制备的超透镜样品的扫描电子显微镜图; (b) 相位分布图; (c) x-z 平面的电场强度分布图
图 5 (a) 可拉伸超表面示意图; (b) 可拉伸超透镜的扫描电子显微镜图; (c) 测量的光场分布
……
本文从超表面成像透镜的结构分类以及光场调控机理两方面,总结回顾了近些年来超表面成像所取得的研究成果和遇到的问题,分析了广义斯涅耳定律和纳米结构单元控制相位的机理。在等离子体超表面方面,介绍了三种结构类型的成像透镜以及它们的成像性能,指出了等离子体超表面的损耗问题。在全介质超表面方面,着重介绍了以硅和二氧化钛为介质材料的高效超表面,并介绍了目前在超表面成像透镜研究中采用的几种消像差方法。在介质/金属混合式超表面方面,主要介绍了其在消色差方面的应用以及一些扩展的功能。在此基础之上,总结了目前超表面成像透镜存在的问题,为后期的深入研究提供一定的参考和借鉴。