非球面单透镜设计参考

     非球面现在的应用特别广泛,在光通讯,激光光源,激光测距,激光雷达等领域都是不可或缺的,它结构简单,同样是一片镜片可以做到更高的相对孔径,聚焦更小,并能有效的消除单镜片的球差的影响。

1.非球面单透镜的非球面度

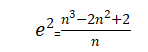
在平行光束中单透镜的球差与透镜的弯曲形状有关,在相对口径或者镜片的口径及焦距确定后,设计主要就是消除球差,即能够设计出球差最小的透镜的形状,并且计算出来非球面度,薄透镜的三级球差为LAy’:

图中:r1=1/ρ1

           r2=1/ρ2;

         

       

其中H为半口径,透镜的近轴焦距

为了消除这个波像差则透镜的修磨量为:

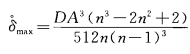
经过调焦,令边缘带非球面度为零,则最大修磨量为:

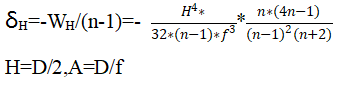
δmax=-δH/4;

若材料为K9或者BK7,n=1.5163

                                    δmax=0.00775DA3

若是平凸透镜且凸面迎光,此时的ρ2=0,ρ1=/(n-1),此时的最大修磨量为:

n=1.5163δmax=0.00831DA3

       从上面可以看到平凸透镜的非球面度略大于最小球差的透镜的非球面度,但是用平凸透镜可以少磨一个球面,所以实际中宁可非球面度大一些,用来减少加工一个球面的工作量,非球面可以修在第一个面或者第二个面上,也可以是两个面。一般非球面度发生的位置在y/H=sqrt(2)/2带上一般情况下单镜片的透镜对于焦距的要求并不是很高,所以对于起始的球面或者不需要修磨的面曲率半径的公差可以放宽,甚至可以有些区域有些布局偏差,但是轴对称性必须要好。

2.非球面单透镜的面形

对于相对口径较小的单个透镜,非球面用二次曲面就能得到很好的效果,我们利用e^2作为二次曲面的面型参数,并且令第一个面是非球面,其方程为:

                             y^2=2Rx-(1-e^2)x^2

起始曲面为最小球差的透镜

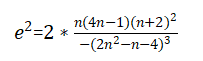
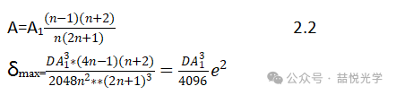
A为整个透镜的相对口径A=D/f,令A1=D/(r1 /2),则有:

         

从而得到的e^2表达式:

如果n=1.5263

e^2=0.830754549

若起始曲面为平凸透镜

凸面对着平行光的平凸透镜的近轴焦距与透镜厚度无关:

得到

n=1.5163

e^2=0.585565888;

从中可以看到,消球差的单透镜的二次曲面系数只与透镜的弯曲形状以及折射率相关,与曲率半径的值是没有关系的,上述两个的二次曲面系数可以看出来,第一个面都是椭球面。

假设非球面修正在最小球差透镜的第二个面上,对于最小球差的透镜,可以得到

若n=1.5163,

e^2=245.52745,为双曲面。

3.单透镜设计

根据实际的技术参数,包括使用用途,NA,入光直径,等等,并考虑加工,装配,检验测试的需求,综合设计,尽量能用一个非球面的不用两个,一般非球面度控制越小越好,球面偏离量越小越好。

作者:光头强

资料为网上搬运,如有侵权立马下架

发表评论

您的邮箱地址不会被公开。 必填项已用 * 标注