什么是斩波电路?

直流-直流变流电路(DC/DC Converter)包括直接直流变流电路间接直流变流电路

直接直流变流电路

也称斩波电路(DC Chopper)。

将直流电变为另一固定电压(电流)或可调电压(电流)的直流电。

可直接将直流电变为另一直流电,这种情况下输入与输出之间不隔离。 (非隔离型直流-直流变流器)

间接直流变流电路

在直流变流电路中增加了交流环节

在交流环节中通常采用变压器实现输入输出间的隔离, 因此也称为隔离型直流-直流变流器。

直接直流斩波电路种类

四种典型电路:降压斩波电路、升压斩波电路、升降压斩波电路、 丘克斩波电路。

多重斩波电路——相同结构基本斩波电路组合。

间接直流斩波电路种类

由逆变电路、整流电路及中间变压器构成。

有单端正激、双端正激、单端反激、推挽、半桥、全桥等多种电路形式。

根据电路是否具备双向电能传输能力,可分为单向型双向型

直接直流变流电路

共讲述四种典型电路,对三种最基本的电路—降压斩波电路、升压斩波电路、升降压斩波电路进行重点介绍。
两个基本原理:
伏秒平衡:稳态条件下,电感两端电压在一个开关周期内的积分为零。
安秒平衡或电荷平衡:稳态条件下,流过电容的电流在一个开关周期内的积分为零。

降压斩波电路

降压(Buck)斩波电路

使用全控型器件S。

设置了续流二极管VD,在S关断时给电感电流提供通道 。

两种工作模式: 电感电流连续模式 、电感电流断续模式

电感电流连续工作模式

t0~t1时段:开关S导通,二极管VD 处于截止状态,VD电压Uvd = Ui 。由于 Ui > Uo,负载电流iL按指数曲线上升。

t1~t2时段:开关S关断,二极管VD 导通,电感电流通过VD续流,VD电压 近似为零,负载电流呈指数曲线下降。 为了使负载电流连续且脉动小通常 使串联的电感L值较大。

数量关系

电感电压在一个周期的平均值UL可以表示为

根据伏秒平衡,有UL=0,可得

电感电流断续工作模式

t0~t1时段:开关S导通,二极管VD处于截止状态。Ui > Uo,电感L的电流 不断增长。

t1~t2时段:开关S关断,二极管VD导通,电感通过VD续流,电感电流不断 减小。

t2~t3时段:t2时刻电感电流减小到零,VD关断,电感电流保持零值,电感两端的电压也为零。

降压斩波电路处于连续和断续的临界状态时,每个开关周期开始和结束 的时刻,电感电流正好为零。

电感电流连续时,Uo =DUi 。

电流断续时,总有Uo>DUi ,且负载电流越小,Uo越高。

输出空载时, Uo =Ui 。

升压斩波电路

升压(Boost)斩波电路

升压斩波电路也存在电感电流连续电感电流断续两种工作模式。
电感电流连续工作模式

t0~t1时段:开关S导通,二极管VD处于截止状态。电感L两端的电压为Ui ,电 感电流不断增长。

t1~t2时段:开关S关断,二极管VD导通,电感通过VD向电容C放电,电感电流 不断减小。

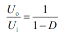
数量关系

电感电压在一个周期的平均值UL可以表示为

由伏秒平衡,UL=0,可得

由于0≤D≤1,因此升压型电路的输出电压高于其输入电压,且与输入电压极性相同。

D→1时,Uo→∞,故应避免D接近1,以免造成电路损坏。

电感电流断续工作模式

t0~t1时段:开关S导通,二极管VD处于截止状态。电感L两端的电压为Ui , 电感电流不断增长。

t1~t2时段:开关S关断,二极管VD导通,电感通过VD向电容C放电,电感 电流不断减小。

t2~t3时段:t2时刻电感电流减小到零,二极管VD关断,电感电流保持零值 ,并且电感两端的电压也为零。

电路处于连续与断续的临界状态时,每个开关周期的开始或结束的时刻电感电流正好为零。此时波形如下图。

电感电流断续时,总是有Uo>Ui /(1-D),且负载电流越小,Uo越高。

输出空载时,Uo→∞,故升压电路不应空载,否则会产生很高的电压造 成电路中元器件的损坏。

升降压斩波电路

升降压(Buck-Boost)斩波电路

升降压斩波电路也存在电感电流连续电感电流断续两种工作模式。

电感电流连续工作模式

t0~t1时段:开关S导通,二极管VD处于断态。电感L两端的电压为Ui , 电感电流不断增长。

t1~t2时段:开关S关断,二极管VD导通,电感通过VD向电容C放电, 电感电流不断减小。

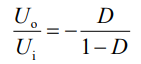
数量关系

电感电压在一个周期的平均值UL可以表示为

由伏秒平衡,UL=0,可得

等式右边的负号表示升降压电路的输出电压与输入电压极性相反,其数值既可以高于其输入电压,也可以低于输入电压。

断续工作模式与前述拓扑分析思路相同。 负载电流很小时,电感电流将不连续,电压比的公式不再满足等式,此时输出电压|Uo|>DUi /(1-D),且负载电流越小,Uo越高。

输出空载时,|Uo|→∞,故升降压电路也不应空载,否则会产生很高的电压造成电路中元器件的损坏。

升降压型电路可以灵活的改变电压的高低,还能改变电压极性,因此常用于电池供电设备中产生负电源的电路,还用于各种开关稳压器中。

丘克斩波电路

丘克(Cuk)斩波电路

丘克电路可以看成是由升压型电路和降压型电路前后级联而成的。

电感电流连续工作模式

t0~t1时段:开关S导通,VD为断 态,L和L1的电流均增加;

t1~t2时段:开关S关断,VD导通 ,L经Ui ,VD,C1回路续流,L1经VD 和C续流。

数量关系

等式右边的负号表示输出电压与输入电压极性相反,其数值既可以高于其输入电压,也可以低于输入电压。

D→1时,|Uo|→∞,故应避免D过于接近1,以免造成电路损坏。

电感电流断续工作模式

负载电流很小时,电感电流将不连续,电压比的公式不再满足等式,输出电压|Uo|>DUi /(1-D),且负载电流越小,|Uo|越高。

输出空载时,|Uo|→∞,故丘克电路也不应空载,否则会产生很 高的电压造成电路中元器件的损坏。

丘克电路的特点与升降压电路相似,因此也常用于相同的用途。 丘克电路较为复杂,因此使用不甚广泛。 丘克电路一个突出的优点是输入和输出回路中都有电感,因此输出电压纹波和输入电流纹波均较小,在某些有特殊要求的场合使用比较合适。

发表评论

您的邮箱地址不会被公开。 必填项已用 * 标注